Aplikasi Teknologi Reka Bentuk Makanan
Rbt T1 Bab 1 Pengenalan Kepada Reka Bentuk Dan Teknologi By Azlyzamohdazman Issuu
E Book Reka Bentuk Dan Teknologi Tingkatan 3
Myb Book Rujukan Notes Ranger Fast Reka Reka Form And Technology 1 2 3 Kssm Reka Shape Rainbow Shopee Singapore
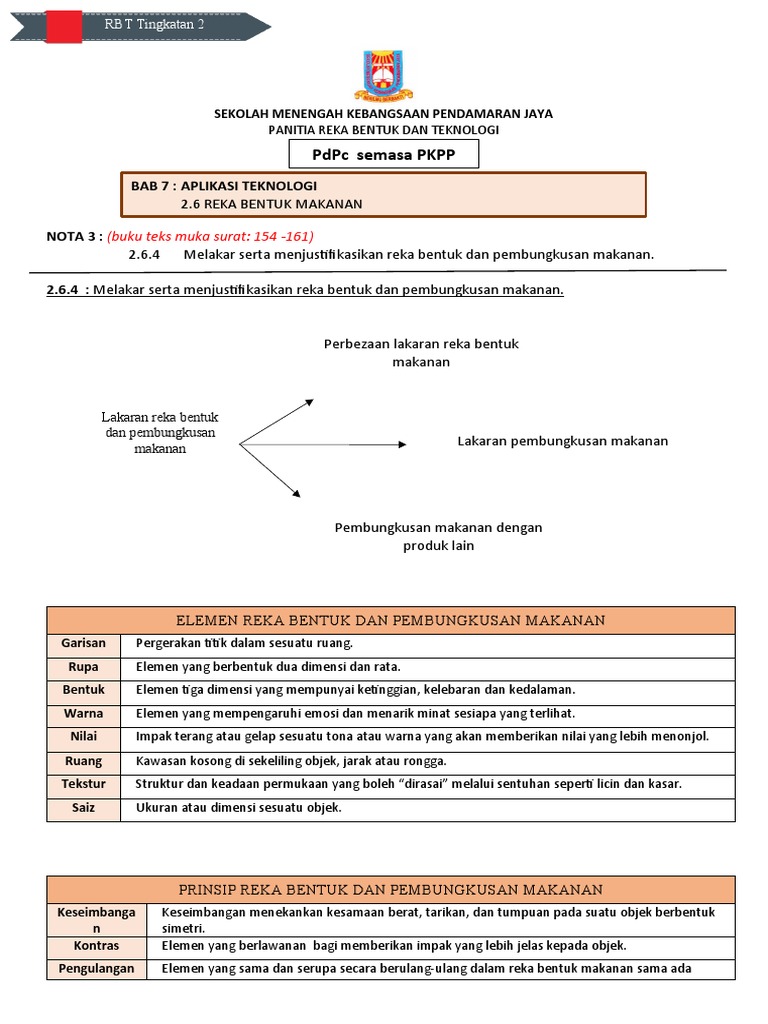
Pdpc Semasa Pkpp 2 6 Reka Bentuk Makanan
Galeri Cikgu Norliza Kursus Rbt Tingkatan 2
Galeri Cikgu Norliza Bab 2 6 Aplikasi Teknologi Reka Bentuk Makanan
Faktor Reka Bentuk Desainrumahid Com




Belum ada Komentar untuk "Aplikasi Teknologi Reka Bentuk Makanan"
Posting Komentar